首页
部门概况
新闻动态
通知公告
学术活动
学位学科
规章制度
数字资源服务
文章
Article
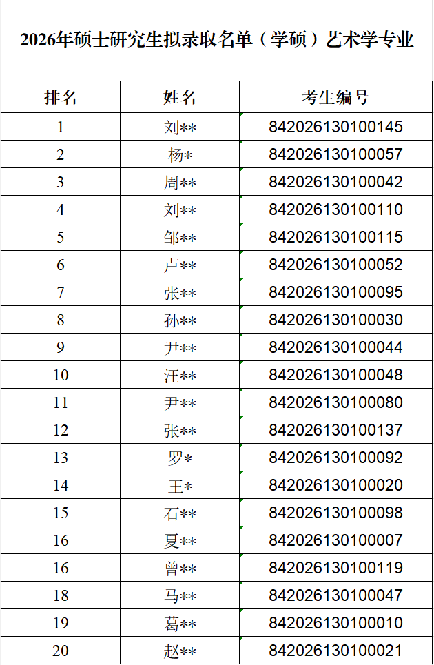
2026年硕士研究生拟录取名单(学硕)艺术学专业
文章来源:
研究生教务部
时间:
2026-03-26
Aa:
小
中
大
上一篇:
2026年硕士研究生总成绩排名表 (学硕)艺术学专业
下一篇:
2026年拟录取考生体检通知
最新动态
热门链接
中国知网
国务院学位委员会
中国电影艺术研究中心
中国文明网
中国文明网
中国电影报
学习强国
教育部学位与研究生教育发展中心
中国电影学术网
国家电影局
中国学位与研究生教育学会
中国艺术硕士网
教育部
学信网
顶部